KIPiA
Калькуляторы
Калькулятор термопар
Калькулятор термосопротивлений
Калькулятор ПМТ
Калькулятор шкала-сигнал
Калькулятор сопротивления проводника
Калькулятор NTC
Калькулятор карбонового греющего кабеля
Калькулятор цветовой маркировки резисторов
КИП
Все приборы
По наименованию
По заводу-изготовителю
По технологическому параметру
Заметки
Документация
Другое
Главная страница
ООО "ТЕПЛОПРИБОР-СЕНСОР"
КП1М
kp1m-kipia_xyz
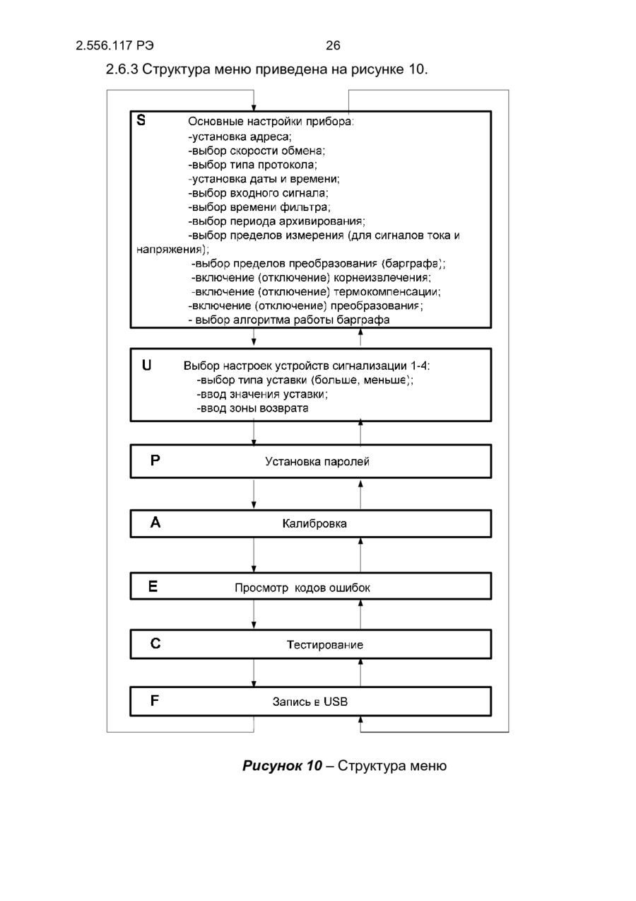
КП1М Руководство по эксплуатации - просмотр
Вернуться к странице файла
Скачать текущую страницу (png)
Страница 26 из 55
Назад
25
26
27
Далее